Skip to main content
Sevasadan
Home

Main navigation

  • About us
  • Mandatory Disclosures
  • Our Team
  • Our Features
  • Events
  • Admission
    • Std 11th Application Form
    • Fee Structure
    • Admission Notice
    • Mini-KG Interaction Schedule
    • Other Notices
    • Image Gallery
  • Contact us
  • Careers
  • Gallery
    • Video Gallery

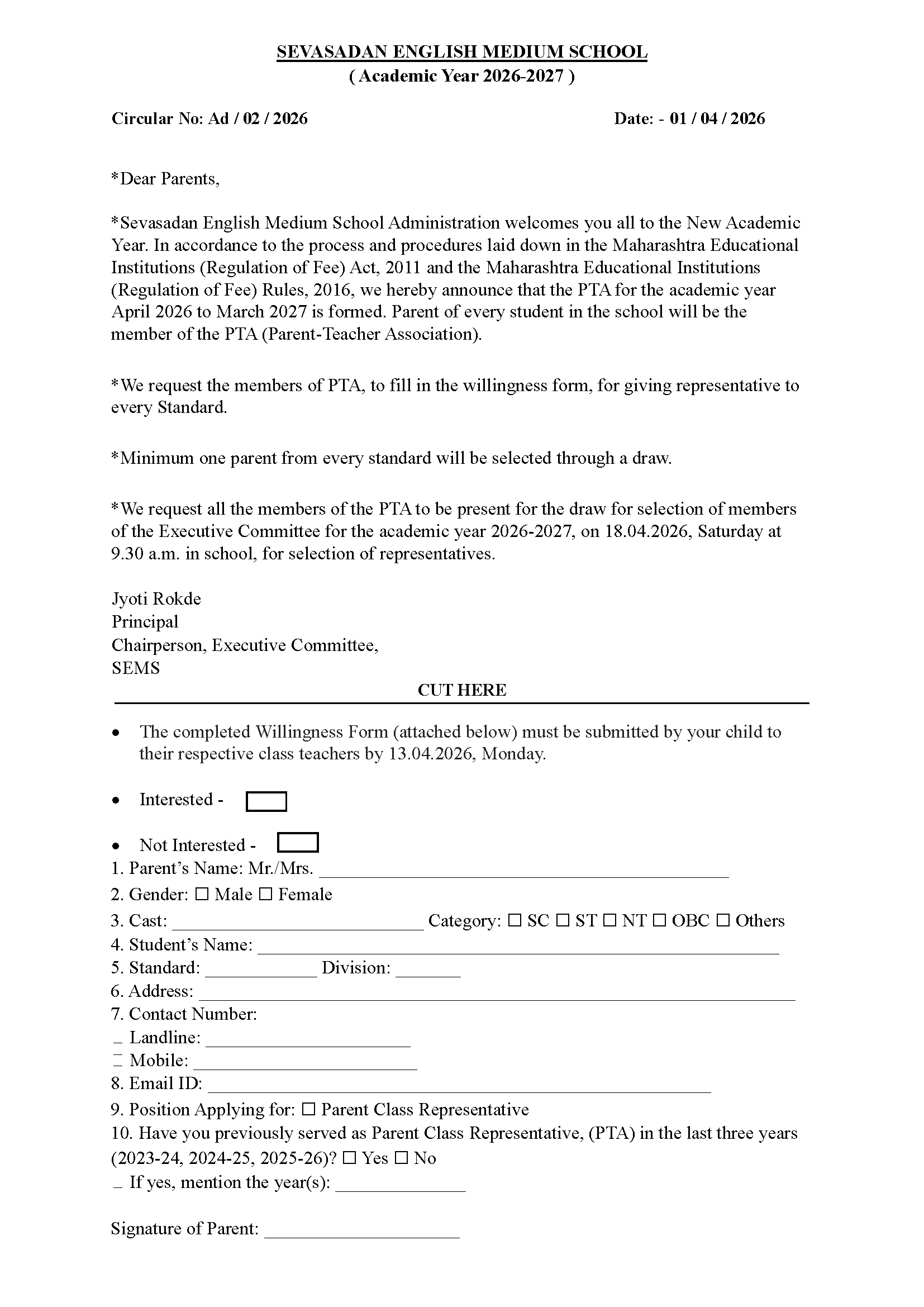
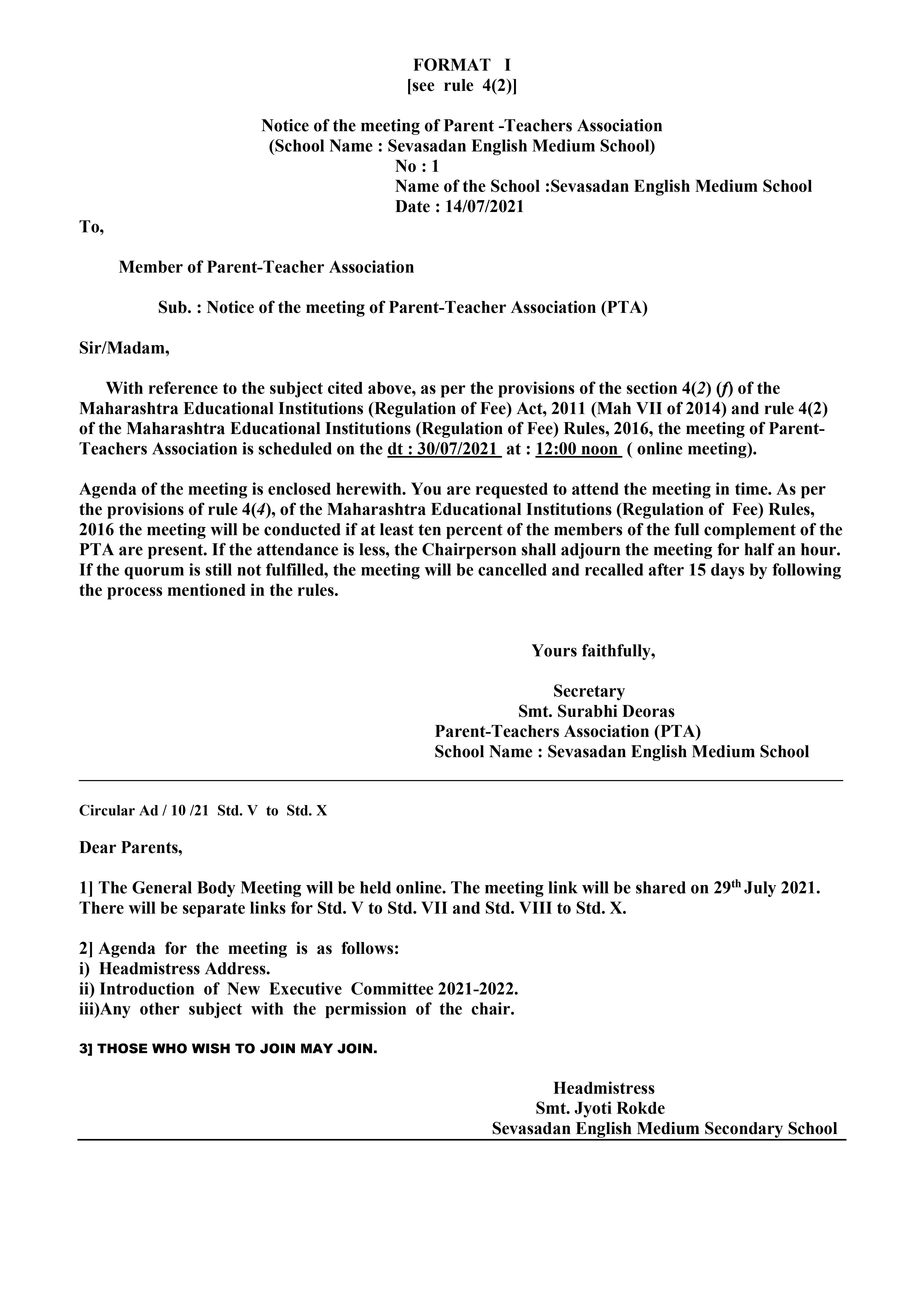
Revised Circular No Ad-02-2026 Parent Teacher Association Formation ( Pre Primary)
Revised Circular No Ad-02-2026 Parent Teacher Association Formation ( Pre Primary)
view
Revised Circular No Ad-02-2026 EPTA Formation ( Primary & Secondary )
Revised Circular No Ad-02-2026 EPTA Formation  ( Primary & Secondary )
view
Circular No Ad-02-2026 EPTA Formation Form ( Primary Secondary )
Circular No Ad-02-2026 EPTA Formation Form ( Primary  Secondary )
view
Circular No Ad-02-2026 Parent Teacher Association Formation Form ( Pre Primary)
Circular No Ad-02-2026 Parent Teacher Association Formation Form ( Pre Primary)
view

Pagination

  • Page1
  • Next page ››

Contact

Address: 1410 , Patwardhan Baug, Near Dinanath Mangeshkar Hospital, Erandwane, Pune, Maharashtra 411004

Phone: 020 2543 9263

Mobile: +91 902 889 6417

Office Timing: Mon - Fri -  8.30 am to 10.30 am.

 

@2018. All Rights Reserved Sevasadan English Medium School. Developed by Kovid BioAnalytics®